前回はこれ。
DQN(Deep Q Network)
- State-Value Function 今の状態から将来的に遷移した時の利得の和の期待値(減衰率)
- Action-Value Function 今の状態からアクションを取ったときの利得の和の期待値(減衰率)
Q-learningとは、うまくを予測するのが目標。以下のように、Bellman optimality equationを用いて毎イテレーション更新していく。

大量のデータセットとして、があるとする。それぞれ、(今の状態, 取るアクション, 遷移した先の状態, アクションによる利得)である。
参考: https://horomary.hatenablog.com/entry/2021/02/06/013412
DQNでは、表現力豊かなDNNを用いて、を予測する。具体的には、以下のように二乗誤差を最小化するように動くらしい。

しかし、Q-learningの上の式では、将来の報酬をで決定しているが、エージェントが偶然高い値をとる(最初の収束してないときなどで)と、次のループ以降のQ値を高く予測してしまうといバイアスが働くということ。
Double Q-learning
これに対処するために、Double-Q-learningという手法がある。以下の通りにやる。
- という2つのQ値推測関数と、始まり
- 次のループを繰り返す。
- 両方の判断に従って、とるアクション、遷移した状態のを得る。
- 1のどちらかをこのループで更新するかをランダムに決める。
- 選ばれたほうをとする。選ばれなかったほうをとする。
- 遷移した状態から、取る最適な行動による利得の最大化をする。これは今のポリシーに基づくであるともいえる。
- これを使って更新していく。未来の最適にあたるは、選ばれなかった方のQ値推測関数で計算する。
- 最後ににする。
これによって、Co-Trainingのような冗長性を持たせることができ、1回まずい更新したとしても、相方の除去能力によってある程度助かる。
Duel Deep Q-learning
参考資料: https://qiita.com/sugulu_Ogawa_ISID/items/6c4d34446d4878cde61a
Duel Deep Q-learningという手法もある。予測するとき、普通にQを予測するのではなく、
- にのみ依存する
- アクションと状態両方に依存する
に分けて、それを足し合わせて予測するというものである。これはQを状態だけで決まる部分と、行動次第で決まる部分に分解して、それを加算する。
しかし、足すだけだと、にはならないので、以下のようにActionの平均を差し引くことで、実質的にのぶんをけしている。

こうすることで学習がさらに早くなり、収束しやすくなる。
Prioritized Experience Replay
参考: https://qiita.com/fujitagodai4/items/62100d63b43cd518c127
マルコフ過程の学習をしたいので、1つ前の状態や行動からのみ、次の状態が決まるというもの。しかし、時系列順に画像を入力させると、複数前のものからの予測などになって、覚えてほしくないものも覚えてしまう。
Replay Bufferという手法をここで導入する。サンプリングされたデータをためて、そこから決まったルールで選択するというもの。

誤差が大きいほど、重要度が高く選ばれやすい=学習に取り込まれやすい
Noisy networks for exploration
既存のQ-learningのDNNの全結合層を以下のものに切り替える。
を置き換えた感じ。期待値から推論ごとにというNoiseを加える。この条件下で学習することで、より過学習しない?
A distributional perspective on reinforcement learning
参考: https://qiita.com/keisuke-nakata/items/2767c287e4ee7a71716c
強化学習において、今までは収益の期待値であるを学習で求めていたが、期待値ではなく分布が重要である、というもの。
Wasserstein距離というものを考える。これは最適輸送に基づいた、分布の間の距離であり、距離の公理を満たす。具体的には2つ分布の間の最適輸送による最小のコスト(の乗。これはあらかじめ人がの値を決める)
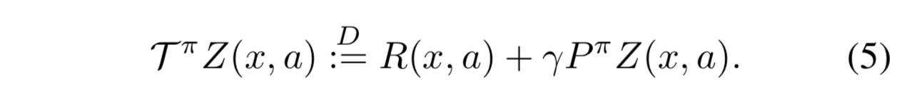
Bellman Operatorを以下のような分布の形にする。報酬Rのランダム性、遷移のランダム性が本来のBellman Operatorと違うところ。
ちなみに、不動点をただ1つもつ縮小写像である。


上の部分は2つの分布の距離を比べている?割引率を掛けて分布を縮めてから、報酬を足して平行移動する。最後にで横幅を戻した分布を、比べたいものとの距離を比べている感じ?
いろいろよくわからない。
